【摘要】 7月31日:多云 气温25~36℃新闻报料电话:0715—8128787新鲜事、稀奇事、开心事、麻烦事,欢迎拨打热线电话,我们愿意和您分享,帮您跑腿



7月31日:多云 气温25~36℃
新闻报料电话:0715—8128787
新鲜事、稀奇事、开心事、麻烦事,欢迎拨打热线电话,我们愿意和您分享,帮您跑腿...
7月29日22时咸安区疾控中心收到湖北省疾控中心关于新冠确诊病例密切接触者谢某某的协查函,区疾控中心进行流行病学调查时发现,7月25日谢某某乘坐高铁(车次G486)到咸宁北与确诊病例刘某某同车次同车厢,谢某某被判定为刘某某的密切接触者,谢某某到达高铁咸宁北站后,由其丈夫自驾车接回咸安家中。7月26日17:35-17:54谢某某步行到浮山辖区的麦盟生鲜超市领秀城店购物,其后步行回家未外出。7月27日下午其丈夫驾车送谢某某到城铁咸宁南站,14:20-14:38谢某某在候车厅候车,乘坐城铁(车次D5796,08车厢,03B座)到武昌。
为严格落实“外防输入、内防反弹”的防控策略,有效控制和降低疫情传播风险,咸安区疾控中心现对广大群众发布如下疫情防控紧急提醒:
1、请7月26日17:35-17:54在浮山辖区麦盟生鲜超市领秀城店购物和7月27日14:20-14:38在咸宁南候车厅候车的市民,及时主动地向居住地的社区(村)进行登记或各乡(镇、办)新冠肺炎疫情防控指挥部报告,做好个人防护,登记身体健康状况、家庭详细地址和联系方式,主动配合疫情防控人员采取相应防控措施,接受免费核酸检测。
2、鉴于当前的疫情形势,如无必须,建议近期不要前往疫情中高风险地区。请广大市民持续关注自己的健康码和通信大数据行程卡信息,一旦发现健康码、行程卡变为红码或黄码,必须第一时间向所在社区(村)报告,按要求配合做好各项疫情防控措施。
3、请继续保持良好的个人防护意识。保持科学佩戴口罩(尤其是在乘坐公共交通工具或人员密集场所)、勤洗手、常通风、保持1米以上社交距离等良好卫生习惯。不扎堆、不聚集,文明用餐,注意咳嗽礼仪。
4、请时刻关注个人和家人的身体健康状况。一旦出现发热、咳嗽、咽痛、乏力、嗅(味)觉减退、腹泻等症状,请及时佩戴口罩前往就近的发热门诊就诊和排查,并如实告知个人旅居史、活动史和接触史,就医途中尽量避免乘坐公共交通工具。
5、当前国际新冠疫情形势仍然十分严峻,我国发生输入性疫情甚至形成本土传播的情况时有发生,接种新冠病毒疫苗是预防新冠肺炎最经济、最有效的手段,请符合接种条件的市民积极预约登记,尽快有序前往定点接种门诊接种新冠病毒疫苗,共同筑牢全民免疫屏障。
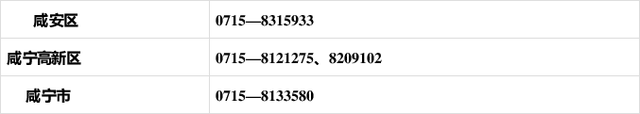
附:各级新冠肺炎疫情防控指挥部、区疾控中心咨询热线、各新冠疫苗接种门诊地址和联系方式(点击图片可放大):
各级新冠肺炎疫情防控指挥部咨询热线



咸安区疾控中心咨询热线



来源:咸安发布
编辑:周萱
监制:向东宁
出品:新媒体中心
